Last modified on 08.6.2019.
INDUCTION MOTOR DESIGN FOR SIMULATION PURPOSES (3-phase)
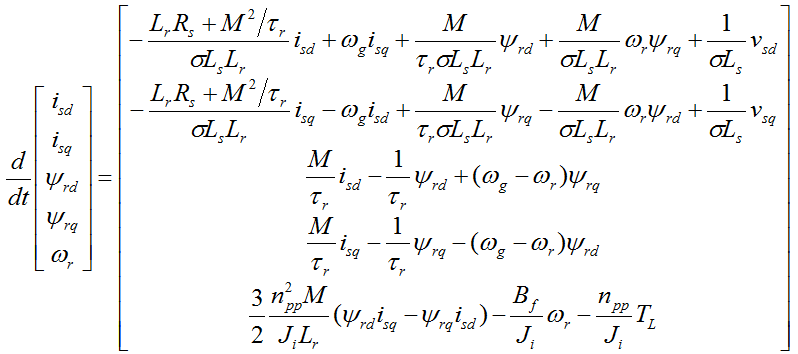
This page serves a free online induction motor design tool for simulation purposes according to the following model:

If this service is helpful for your academic work, you can cite this paper ( doi:10.4316/AECE.2019.02004), in which I have presented all the details.
REQUIREMENTS
Online motor design for simulation purposes
Online motor parameters for simulation purposes
Online electric motor parameters for simulation purposes
Online induction motor parameters for simulation purposes
Online asynchronous motor parameters for simulation purposes
Online AC motor parameters for simulation purposes
Online electric motor design for simulation purposes
Online induction motor design for simulation purposes
Online asynchronous motor design for simulation purposes
Online AC motor design for simulation purposes